Clare Wallace Assistant Professor at Durham University

Final-year projects

These are the topics I’m offering to supervise for final-year BSc and MMath project students at Durham, in 2025-26. For older projects, see the archive.

Third-year project: Assessment and feedback

A very generic picture of some maths in a notebook

In this project, we will think about the different ways in which mathematics can be assessed, and investigate whether any are more effective than others.

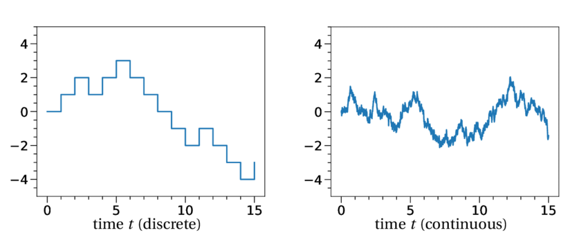
Fourth-year project: Functional Limit Theorems

Convergence of a random walk to Brownian motion

In this project, we’ll look at how the Law of Large Numbers, and the Central Limit Theorem, work when we apply them to trajectories of random walks (instead of simple random variables).